经营租赁中“余值”的数学含义

 

《现代租赁》网首次发布日期:2009年08月11日 作者:沙泉

    经营租赁(Operating Lease)总是被当作传统租赁(Rental)称呼。真正做的时候却很难理解其中的道理,其中最重要的原因就是不懂得什么叫“余值”,它的内在含义到底是什么?在经营租赁中其什么作用。为了让人们从本质上理解“余值”的含义,本文从租金计算的角度解析“余值”,诠释“经营租赁”以便正确地使用它,科学地为他制定政策。

    为了让人们更好地理解余值,我们先要了解“租金计算”。传统租赁的租金是以承租人占用租赁物件的时间和服务计算的。通常是依靠市场竞争定价的。融资租赁 (Financial Lease)的租金是以承租人占用出租人资金的时间,根据特定利率和服务计算的。经营租赁显然是按照融资租赁的计算方式计算的,因此才有“余值”。

    “余值”是会计准则中对外来语 Future value 的意译,直译应该是“未来值”。但是这两种翻译都不能让人了解其内涵,为此我们从数学的角度对其进行深度分析。

    就算是融资租赁,租金计算也有许多种,我们只拿最简单、最常用的做案例进行分析,以便更容易理解。

    我们常用采用的是定额年金法计算租金。这种计算方法和银行贷款的计算方法是一样的。其特点是每期需要支付的租金额是相等的。下面给出计算条件和计算公式,对“余值”进行详细分析。

    租赁条件:

    本金 1,000,000.00元;租赁利率年息 8%;租期10年;余值,本金的12%或120,000.00元(为了确认为会计准则界定的经营租赁会计处理,所以选择余值超过准则界定标准10%,以免不必要的争议);支付方式为后付,每年支付一次(简化计算)。

    我们给这些参算条件用金融行业的缩略语表示:

  • 本金:Pv(Principal Value 或 Present value[现值}]);
  • 利率:i(Interest rates);
  • 租期:n(Noumber of Terms);
  • 余值:Fv(Future value);
  • 支付方式:t(Type),数字“0”表示“到期后付方式”,数字“1”表示起租前支付;
  • 租金:PMT(Payment),这是财经计算时的标准的用法,融资租赁业有时候用R(Rent)来表示。

    上述表达式与多数金融计算器是统一的,与微软的 Excel 中财务计算公式使用的表达式方式也是一样的。因此可以用这些运算工具来验证本文论述的科学性和正确性。

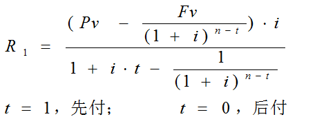
    租金的计算公式:

   

    这里显示的计算公式是个通式,它把有余值,无余值,先付和后付的方式都包含在内了。

    从计算公式中我们可以看出,本金部分在有余值的情况下,已经被折成现值扣除了。本案例中的本金,实际上是本金原值(现值)-余值的现值=100万-12万/(1+8%)^10=944,416.78万(其中“^”是“次方”的计算机语言表达式,余值现值为55,583.22元)。而不是想象的100万-12万=88万作为本金计算租金。

    余值的未来值=余值的现值55,583.22元(1+8%)^10=120,000.00元。这里我们可以看出,余值是没有参与“融资”的未来值,而不是租赁物的市场“残值”或财务“残值”,是出租人的未回收成本。租期结束时,承租人凭余值选择对租赁物续租、退租、留购等处理方式。而这个余值是在签订融资租赁合同的时候就确定的。因为余值的存在,需要出租人去经营,因此叫经营租赁。它是融资租赁的特殊表现形式,是非全额融资租赁。

    下面我们可以通过资金平衡表更加深刻地理解其内在含义。

租金支付平衡表

期数 支付日期 每期租金 回收利息 回收本金 未回收本金
0         1,000,000.00
1 2009年8月11日 140,745.95 80,000.00 60,745.95 939,254.05
2 2010年8月11日 140,745.95 75,140.32 65,605.63 873,648.42
3 2011年8月11日 140,745.95 69,891.87 70,854.08 802,794.35
4 2012年8月11日 140,745.95 64,223.55 76,522.40 726,271.95
5 2013年8月11日 140,745.95 58,101.76 82,644.19 643,627.75
6 2014年8月11日 140,745.95 51,490.22 89,255.73 554,372.02
7 2015年8月11日 140,745.95 44,349.76 96,396.19 457,975.83
8 2016年8月11日 140,745.95 36,638.07 104,107.88 353,867.95
9 2017年8月11日 140,745.95 28,309.44 112,436.51 241,431.44
10 2018年8月11日 140,745.95 19,314.51 121,431.44 120,000.00
  合计: 1,407,459.50 527,459.50 880,000.00  

    其中:

  • 第一期租金是计算出来的,后各期租金=第一期租金;
  • 本期回收利息=上期未回收本金x利率;
  • 本期回收本金=本期租金-本期回收利息;
  • 本期未回收本金=上期未回收本金-本期回收本金

    最后一期未回收本金就是承租人未融资的“余值”。如果计算条件余值为“0”的话,未回收本金就会成为“0”。

    注:为了让更多的人能读到这篇文章,本文采用不能用来计算的静态表格,仅供验证计算结果。

    如果能看懂上述描述,就知道为什么经营租赁不是传统租赁,而是融资租赁。

  • 因为经营租赁也是2个合同三方当事人的租赁,“是出租人根据承租人对出卖人、租赁物的选择,向出卖人购买租赁物,提供给承租人使用”的租赁(法律用语);
  • 其次租金是按承租人占用出租人资金的时间和利率计算;
  • 三是出租人在给承租人融资租赁开发票,一定要区分本金和利息。否则不需要区分本届和利息。

    这三点已经足以说明经营租赁就是融资租赁,而且是融资租赁的高级形态——非全额融资租赁。“余值”的科学、易懂的翻译应该是“未融资终值”比较准确。

    上面我们从操作的角度谈经营租赁,下面我从租赁的四大支柱的环境来看中国的经营租赁。

    法律上的经营租赁

    按照《中华人民共和国合同法》,只有租赁和融资租赁才有列名合同,没有经营租赁的列名合同。其中融资租赁专章中“出租人和承租人可以约定租赁期间届满租赁物的归属。”已经足以说明融资租赁中的经营租赁特性。

   在操作上,融资租赁合同和经营租赁合同相差的唯一条款就是:租期结束时,承租人可按“余值”对租赁物选择续租、退租、留购。所谓留购,实际上就是补足出租人未回收本金,而不是真实销售。在国外被定义为非真实租赁的范畴(传统租赁被定义为真实租赁)。

    监管上经营租赁

    监管部门本应依法行政。法律没有的,监管部门也不能凭空授予。早期的《金融租赁公司管理办法》中有“经营租赁”的营业范围,当时以为经营租赁就是传统租赁,赋予金融机构的金融租赁公司这项业务是为了更多的开拓市场。

    在新修订的《金融租赁公司管理办法》已经取消了“经营租赁”的营业范围,理由大概是不属于国家法律管辖范围内。相信以“经营租赁”的名义注册经营租赁的公司,在出现司法纠纷是,法院不会按融资租赁公司的待遇判案保护出租人。

    因为金融机构并没有处分余值的能力,因此国外对金融机构的融资租赁管理很严,不允许他们从事经营租赁业务。对于非金融机构企业没有这样的监管要求。对于有厂商股份的融资租赁没有这样的限制,还鼓励厂商租赁公司从事这样的业务。中国银行收购的新加坡飞机租赁公司,因为有成熟的飞机处分市场和经验,因此不会限制他们开展经营租赁业务。但对于现在的银行系金融租赁公司来说,监管部门暂时还不会放开这个口。没有退租条款,或者余值有第三方担保的经营租赁业务,不在监管禁止范围。

    商务部监管的融资租赁公司没有这方面的描述,也没有这样的限制。

    会计准则上的经营租赁

    会计准则是率先把经营租赁概念搞乱的政策法律。会计准则本要表达的是融资租赁的会计处理方式,而不是大租赁(法律上租赁+融资租赁)的会计处理方式,更不是传统租赁法律或税务或操作的定义。但是人们总以会计准则为法律准绳,错误地把传统租赁当作经营租赁

    造成混乱的是经营租赁的会计处理是按照传统租赁的会计处理方式进行会计处理的。所以一般人们以为传统租赁就是经营租赁,经营租赁=传统租赁。

    本来会计准则定义的比较准确,但因为后来的中华人民共和国企业会计准则——租赁讲解》把传统租赁解释为经营租赁就出现了概念上的混乱。新修订的《企业会计准则第21号——租赁》解释没有纠正这方面的错误,因此这个误区一直在租赁业中流传着。(据了解,他们认识到这个问题,准备在新的解释中纠正这些概念,但不知何原因,也不知何时才能出台文件就不得而知)。

    会计准则中有个余值增值、减值的会计处理问题。如果我们知道“余值”它是未融资余额的话,就知道这里没有增值、减值问题。因为这个余值是在合同签订一开始就确定的。若市场价值发生变化,高于余值让承租人买断,承租人不干。低于余值时,以市场价格退租给出租人,出租人不干。为了避免未来的争执,余值是在合同签订时就确定的,不可更改的。这里允许增、减值,是把“余值”当会计的“残值”来处理了(余值可以为“0”,残值不可能为“0”,因为卖废铁也能卖出点钱来)。

    税法上的经营租赁

    国家要求依法行政,依法纳税。法律没有的,行政管理部门不能胡乱行政。因此税法上只有租赁和融资租赁的征收标准。但表达方式有所不同,在执行的时候也出现许多问题。

    按照国税发[1993]149号国家税务总局营业税税目注释融资租赁,是指具有融资性质和所有权转移特点的设备租赁业务。即:出租人根据承租人所要求的规格、型号、性能等条件购入设备租赁给承租人,合同期内设备所有权属于出租人,承租人只拥有使用权,合同期满付清租金后,承租人有权按残值购入设备,以拥有设备的所有权。凡融资租赁,无论出租人是否将设备残值销售给承租人,均按本税目征税。

    这个文件的优点在于融资租赁被划为金融保险业,“凡融资租赁,无论出租人是否将设备残值销售给承租人,均按本税目征税”。缺点同样在这句话的“残值”上。他们把未融资的“余值”误认为是财务上的“残值”。这里又引申出融资租赁的增值税问题。

    按照国税函[2000]514号国家税务总局关于融资租赁业务征收流转税问题的通知》的规定:批准经营融资租赁业务的单位所从事的融资租赁业务,无论租赁的货物的所有权是否转让给承租方,均按《中华人民共和国营业税暂行条例》的有关规定征收营业税,不征收增值税在交易中,不管是承租人支付增值税,还是出租人代承租人支付增值税,总之采购这个物件时已经缴纳了增值税。

    在租赁合同签订时就确认:租期结束后租赁物件的所有权转移给承租人的是全额融资租赁,不管是否有余值(因为即便有,也是第三方担保余值);若租期结束后承租人行使的选择权中有退租,那么就是非全额融资租赁,即:经营租赁。

     因此全额融资租赁的所有权转移以及非全额融资租赁(经营租赁)的所有权不转移都是余值处置问题, 是全额融资与非全额融资的问题。与租赁物的再销售无关。有些税务官员把这种转移误认为是“残值销售行为”,要求按旧货销售重复缴纳“增值税”,显然是不合理征税。

    就连对融资租赁业非常合理的财税[2003]16号财政部、国家税务总局关于营业税若干政策问题的通知》中有关融资租赁营业税的扣除项,也有“残值”而不是“余值”的描述,说明税务立法部门对这个问题还是没有彻底搞清楚。

    至于传统的租赁业在国税发[1993]149号文被划分为服务业,全额征收营业税。 虽然不是很合理,但也无争议。可是在实践中,税务部门把融资租赁高级形式的经营租赁被解释为租赁业的经营行为,对租金全额缴纳营业税。说明税务征管部门对这个概念完全不清楚。因此,在没有制定出合理的融资租赁税收政策前,融资租赁业现阶段不可能开展真正的经营租赁业务。人们如此频繁地使用“经营租赁”这个名词,太超前,太没有实际意义,太没有(把传统租赁称为经营租赁)表现力,不能证明你用这个术语就是行业专家,或者是内行人物,反而承托出对这个问题的模糊认识。

《现代租赁网》原创作品,转载时请注明作者和出处 更新日期:2009-08-23